안녕하세요, 오늘은 여드름 치료제로 널리 알려진 벤조일 퍼옥사이드(Benzoyl Peroxide)에 대해 자세히 알아보려 합니다. 이 성분은 약국에서 쉽게 구할 수 있는 일반 의약품부터 의사의 처방을 통해 얻는 전문 의약품까지 다양한 형태로 제공되며, 여드름 치료에 큰 효과를 발휘합니다. 하지만 효과적인 만큼 부작용과 사용법에 주의가 필요합니다. 이번 글에서는 벤조일 퍼옥사이드 구조식, 작용 원리, 효과, 부작용, 사용법에 대해 종합적으로 살펴보겠습니다.

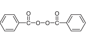
1. 벤조일 퍼옥사이드 구조식과 주요 특징
벤조일 퍼옥사이드는 주로 여드름 치료를 위해 개발된 국소용 의약품입니다. 이 성분은 피부 표면에서 박테리아를 제거하고 여드름을 유발하는 염증을 줄이는 데 도움을 줍니다. 강력한 항균 효과 외에도 피부 각질을 제거하고 모공을 깨끗하게 유지하는 데 효과적입니다.
- 항균 효과: 여드름을 유발하는 Propionibacterium acnes라는 박테리아를 억제합니다.
- 각질 제거: 피부 세포의 재생을 도와 모공을 막는 각질층을 제거합니다.
- 피지 조절: 피부의 과도한 피지를 줄여 여드름 발생 가능성을 낮춥니다.
벤조일 퍼옥사이드는 다양한 형태로 제공됩니다. 대표적인 제품 유형은 다음과 같습니다:
- 젤과 크림: 특정 부위에 국소적으로 사용.
- 클렌저: 세안용으로 사용하며 얼굴과 몸의 여드름을 동시에 관리.
- 마스크: 피부에 깊숙이 침투해 여드름을 완화.
벤조일 퍼옥사이드 구조식은 아래 그림과 같습니다.

2. 벤조일 퍼옥사이드의 효과
- 여드름 치료: 벤조일 퍼옥사이드는 경증에서 중등도 여드름 치료에 특히 효과적입니다. 항균 작용을 통해 여드름을 유발하는 박테리아를 제거하고 염증을 감소시켜 피부를 깨끗하게 만듭니다. 또한, 모공 내 피지와 각질 축적을 방지하여 새로운 여드름 발생을 줄이는 데 도움을 줍니다.
- 로사세아 치료: 여드름 외에도 벤조일 퍼옥사이드는 로사세아(rosacea)라는 피부 상태를 관리하는 데 사용됩니다. 로사세아는 얼굴의 발진과 염증을 특징으로 하며, 벤조일 퍼옥사이드가 증상을 완화할 수 있습니다.
- 복합 치료: 벤조일 퍼옥사이드는 종종 다른 의약품과 조합하여 사용됩니다. 예를 들어, 항생제(클린다마이신)나 레티노이드(아다팔렌)와 함께 사용되면 여드름 치료 효과를 극대화할 수 있습니다. 이런 복합 치료는 특히 중증 여드름에 효과적입니다.
3. 벤조일 퍼옥사이드 사용법
- 농도 선택
- 벤조일 퍼옥사이드는 2.5%, 5%, 10% 농도로 제공되며, 사용 목적과 피부 상태에 따라 농도를 선택해야 합니다. 피부가 민감하다면 낮은 농도(2.5%)로 시작한 뒤 점차 높은 농도로 바꾸는 것이 좋습니다.
- 사용 전 패치 테스트
- 제품을 처음 사용할 경우, 알레르기 반응을 확인하기 위해 패치 테스트를 권장합니다. 여드름 부위에 소량을 도포한 뒤 24시간 동안 반응을 관찰하세요. 자극이나 발진이 없다면 정식 사용을 시작할 수 있습니다.
- 기본 사용법
- 여드름 부위를 부드럽게 세안 후 물기를 완전히 닦아냅니다.
- 소량의 벤조일 퍼옥사이드를 여드름 부위에 얇게 펴 바릅니다.
- 피부가 익숙해질 때까지 하루 한 번 사용하며, 이후 아침과 저녁으로 늘릴 수 있습니다.
- 클렌저 형태라면 얼굴에 1~2분 동안 문지른 후 깨끗이 헹구고 건조시킵니다.
- 자외선 차단제 사용
- 벤조일 퍼옥사이드는 피부를 햇빛에 민감하게 만들 수 있으므로 SPF30 이상의 자외선 차단제를 사용하는 것이 중요합니다.
4. 벤조일 퍼옥사이드 부작용
벤조일 퍼옥사이드는 대부분 안전하지만, 초기 사용 시 피부 자극이 발생할 수 있습니다. 자주 보고되는 부작용은 다음과 같습니다:
- 일반적인 부작용
- 피부 건조
- 발적 및 가려움
- 따가움 또는 화끈거림
- 심각한 부작용 (드물지만 주의 필요)
- 심한 피부 발진
- 물집 또는 화상
- 얼굴, 입술, 혀의 부종
- 호흡 곤란 (알레르기 반응의 징후)
심각한 부작용이 나타나면 즉시 제품 사용을 중단하고 의료 전문가와 상담해야 합니다.
- 옷과 머리카락 탈색
- 벤조일 퍼옥사이드에는 탈색 성분이 포함되어 있어 옷, 머리카락, 수건 등을 변색시킬 수 있습니다. 사용 시 이 점을 유의하세요.
5. 벤조일 퍼옥사이드 사용 시 주의사항
- 햇빛 차단: 사용 중에는 자외선 차단제를 필수로 바르세요.
- 피부 관리: 피부가 건조하다면 보습제를 함께 사용해 자극을 줄일 수 있습니다.
- 임산부와 수유부: 제한적으로 사용 가능하지만, 의사와 상의가 필요합니다.
6. 벤조일 퍼옥사이드를 사용할 때 기억할 점
- 효과 발현 시간: 벤조일 퍼옥사이드는 꾸준히 사용해야 효과가 나타납니다.
- 중단 시 주의: 효과를 봤더라도 갑작스럽게 중단하지 말고 서서히 줄이는 것이 좋습니다.
- 다른 제품과 병용: 다른 여드름 치료제와 함께 사용할 경우 부작용이 증가할 수 있으니 의사와 상의하세요.
7. 결론
벤조일 퍼옥사이드는 여드름 치료제로 많은 사람들에게 사랑받는 성분입니다. 강력한 항균 효과와 각질 제거 능력 덕분에 여드름 완화와 피부 건강 개선에 도움을 줍니다. 하지만 부작용이 있을 수 있으므로 사용 전 주의사항을 잘 숙지하고, 필요시 피부과 전문의와 상담하는 것이 좋습니다.
벤조일 퍼옥사이드 사용법은?
벤조일 퍼옥사이드는 세안 후 깨끗한 피부에 얇게 바르는 것이 기본입니다. 제품에 따라 클렌저는 씻어내고, 젤이나 크림은 바른 후 그대로 둡니다. 처음에는 하루 1회 사용을 추천하며, 피부가 적응하면 아침과 저녁으로 늘릴 수 있습니다. 자극이 있다면 농도를 낮추거나 사용 횟수를 줄이세요.
벤조일 퍼옥사이드 부작용은?
일반적으로 피부 건조, 발적, 가려움 등의 경미한 자극이 발생할 수 있습니다. 심한 경우 알레르기 반응으로 붓거나 물집이 생길 수 있으며, 이때는 즉시 사용을 중단하고 의사와 상담해야 합니다. 또한, 제품이 옷이나 머리카락에 닿으면 탈색이 일어날 수 있으니 사용 시 주의하세요.





최근댓글